[Метематика]Преобразование
От: Аноним  
Дата: 04.03.08 12:31
Оценка:
Привет! Пытаюсь сейчас читать одну книжку, наткнулся на такой момент:

Из (1) получили (2). Проверил в MathCad — действительно формулы тождественны. Но как именно из (1) получилось (2)? Объясните, плиз, поподробнее.
Re: [Метематика]Преобразование
От: LaptevVV Россия  
Дата: 04.03.08 12:48
Оценка: 2 (1)
Здравствуйте, Аноним, Вы писали:

А>Привет! Пытаюсь сейчас читать одну книжку, наткнулся на такой момент:

А>
А>Из (1) получили (2). Проверил в MathCad — действительно формулы тождественны. Но как именно из (1) получилось (2)? Объясните, плиз, поподробнее.
Нужно просто аккуратненько раскрыть квадрат в первой формуле. Ручками. По формуле квадратного трехчлена.
Хочешь быть счастливым — будь им!
Без булдырабыз!!!
Re[2]: [Метематика]Преобразование
От: Аноним  
Дата: 04.03.08 13:17
Оценка:
Здравствуйте, LaptevVV, Вы писали:
А>>
А>>Из (1) получили (2). Проверил в MathCad — действительно формулы тождественны. Но как именно из (1) получилось (2)? Объясните, плиз, поподробнее.
LVV>Нужно просто аккуратненько раскрыть квадрат в первой формуле. Ручками. По формуле квадратного трехчлена.
Не понял. Как раскрыть квадрат? По этой формуле?
(a - b)^2 = a^2 - 2*a*b + b^2
Re[3]: [Метематика]Преобразование
От: deniok Россия  
Дата: 04.03.08 13:45
Оценка: 2 (1)
Здравствуйте, Аноним, Вы писали:

А>Здравствуйте, LaptevVV, Вы писали:

А>>>
А>>>Из (1) получили (2). Проверил в MathCad — действительно формулы тождественны. Но как именно из (1) получилось (2)? Объясните, плиз, поподробнее.
LVV>>Нужно просто аккуратненько раскрыть квадрат в первой формуле. Ручками. По формуле квадратного трехчлена.
А>Не понял. Как раскрыть квадрат? По этой формуле?
А>
А>(a - b)^2 = a^2 - 2*a*b + b^2
А>


Ага. Что-то типа

(под рукой только неисправленная выборочная дисперсия, ну да n-1 роли тут не играет)
Re: [Метематика]Преобразование
От: Кодёнок  
Дата: 05.03.08 07:00
Оценка: 2 (1)
Здравствуйте, Аноним, Вы писали:

А>Привет! Пытаюсь сейчас читать одну книжку, наткнулся на такой момент:

А>
А>Из (1) получили (2). Проверил в MathCad — действительно формулы тождественны. Но как именно из (1) получилось (2)? Объясните, плиз, поподробнее.

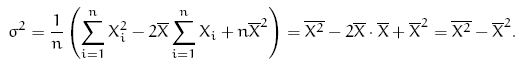
M - среднее значение
sum((x - M)²)
sum(x² - 2xM + M²)
sum(x²) + sum(M²) - sum(2xM)
sum(x²) + N·M² - 2M sum(x)
M = sum(x)/N
sum(x²) + N·(sum(x)/N)² - 2 sum(x) sum(x) / N
sum(x²) + (sum(x))²/N - 2 (sum(x))² / N
sum(x²) - (sum(x))²/N
Re: [Метематика]Преобразование
От: Аноним  
Дата: 05.03.08 09:48
Оценка:
Здравствуйте, Аноним, Вы писали:

А>Привет! Пытаюсь сейчас читать одну книжку, наткнулся на такой момент:

А>
А>Из (1) получили (2). Проверил в MathCad — действительно формулы тождественны. Но как именно из (1) получилось (2)? Объясните, плиз, поподробнее.

Плоды современного образования и компьютеризации. Простейшее алгебраическое преобразование без Маткада -- никак.
Re[2]: [Метематика]Преобразование
От: deniok Россия  
Дата: 05.03.08 10:25
Оценка: :))
Здравствуйте, Аноним, Вы писали:

А>Плоды современного образования и компьютеризации. Простейшее алгебраическое преобразование без Маткада -- никак.


Не говорите! Со времён Ферма идёт жуткая деградация — доказательства, для которого ему требовалось чуть больше ширины полей, так никто и не нашел.
Re[3]: [Метематика]Преобразование
От: ДимДимыч Украина http://klug.org.ua
Дата: 05.03.08 10:43
Оценка: :)
Здравствуйте, deniok, Вы писали:

D>Не говорите! Со времён Ферма идёт жуткая деградация — доказательства, для которого ему требовалось чуть больше ширины полей, так никто и не нашел.


Таки нашел. Только оно заняло более сотни страниц. Кроме того, существует мнение, что Ферма в своем доказательстве ошибся.
Обязательно бахнем! И не раз. Весь мир в труху! Но потом. (ДМБ)
Re[4]: [Метематика]Преобразование
От: SeLarin Россия http://selarin.livejournal.com
Дата: 07.03.08 21:49
Оценка:
Здравствуйте, ДимДимыч, Вы писали:

D>>Не говорите! Со времён Ферма идёт жуткая деградация — доказательства, для которого ему требовалось чуть больше ширины полей, так никто и не нашел.

ДД>Таки нашел. Только оно заняло более сотни страниц. Кроме того, существует мнение, что Ферма в своем доказательстве ошибся.
Ну так ошибку-то не нашли…
... << RSDN@Home 1.2.0 alpha 2 rev. 857>>
Re[5]: [Метематика]Преобразование
От: VEAPUK  
Дата: 08.03.08 10:44
Оценка:
Здравствуйте, SeLarin, Вы писали:

SL>Ну так ошибку-то не нашли…

Как и само доказательство Ферма
... << RSDN@Home 1.1.4 stable SR1 rev. 568>>
Re: [Метематика]Преобразование
От: altmenn Германия DLR IPA
Дата: 25.03.08 10:16
Оценка:
Здравствуйте, Аноним, Вы писали:

А>Привет! Пытаюсь сейчас читать одну книжку, наткнулся на такой момент:

А>
А>Из (1) получили (2). Проверил в MathCad — действительно формулы тождественны. Но как именно из (1) получилось (2)? Объясните, плиз, поподробнее.
Народ!

Раскрытием этого выражения по формуле для квадрата суммы мы лищь усложняем себе жизнь. Ведь гораздро проще по опредедению дисперсии!
Так, во второй формуле имеем непрекрытое определение дисперсии! А так как дисперсия еще и квадрат мат-ожидания, D=M(X-<X>)^2,
то, подставляя, получаем тождество из ваших двух выражений для средних отклонений!
Безвыходных ситуаций не бывает!(Правило Кирхгофа)
Re[2]: [Статистика]Преобразование
От: altmenn Германия DLR IPA
Дата: 25.03.08 10:18
Оценка:
кстати, тему я бы поменяла...сорри!
Безвыходных ситуаций не бывает!(Правило Кирхгофа)
 
Подождите ...
Wait...
Пока на собственное сообщение не было ответов, его можно удалить.