[210 Kb] Теория графов, теория множеств, нужна подсказка.
От: Ellin Россия www.rsdn.ru
Дата: 07.04.08 10:09
Оценка:
Здравствуйте!
Вот еще у меня есть давнишний вопрос, на который не могу найти ответ... в какой-то степени и руки не доходили. Возможно ну очень простой... тогда просьба не смеятся
Есть у меня двудольный граф (т.е. с вершинами двух разных типов.) который я хочу привести к обычному графу путем исключения других и замечения их дугами. Итак есть граф:
, где
T — вершины одного вида, квадраты.
P — вершины другого вида, круги.
И функция инциндентности, т.е. дуги которая соединяет круги с квадратами и квадраты с кругами. Но (!) квадраты с квадратами и круги с кругами соединения не имеют.
Нужно из этого графа получить граф в котором останутся квадраты, но круги с дугами заменим просто дугами. На рисунках показано:
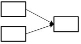
1) Есть:

Получаем:

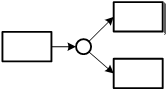
2) Есть:

Получаем:

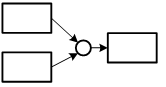
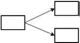
3) Есть:

Получаем:


Т.е. я пишу пусть есть , тогда N1=(T,F1), где F1 функция инцидентности... Вопрос в том как ее определить? Чему равна F1?
Re: [210 Kb] Теория графов, теория множеств, нужна подсказка
От: Centaur Россия  
Дата: 07.04.08 18:36
Оценка:
Здравствуйте, Ellin, Вы писали:

Неужели проще рендерить формулы в картинки, чем надёргать символов из charmap?

E>Есть у меня двудольный граф (т.е. с вершинами двух разных типов.) который я хочу привести к обычному графу путем исключения других и замечения их дугами. Итак есть граф:

E>N = (P, T, F), где

Судя по обозначениям, N — это сеть Петри (Petri net), P — места (places), T — переходы (transitions)?

E>T — вершины одного вида, квадраты.

E>P — вершины другого вида, круги.
E>И F : P×T ∪ T×P функция инциндентности, т.е. дуги которая соединяет круги с квадратами и квадраты с кругами.

Я бы сказал, что это не функция, а отношение.

E>Но (!) квадраты с квадратами и круги с кругами соединения не имеют.

E>Нужно из этого графа получить граф в котором останутся квадраты, но круги с дугами заменим просто дугами. На рисунках показано:

E>Т.е. я пишу пусть есть N = (P, T, F), тогда N1=(T,F1), где F1 функция инцидентности... Вопрос в том как ее определить? Чему равна F1?


F1 — опять-таки бинарное отношение на множестве T, то есть подмножество T×T.

Очевидно, F1 = F^2 = {(t1, t2) ∈ T×T | (∃p∈P)((t1, p) ∈ F & (p, t2) ∈ F)}.

Либо, если считать F и F1 функциями соответственно из (P×T ∪ T×P) и (T×T) в B = {false, true}, то

F1(t1, t2) = (∃p∈P)((t1, p) ∈ F & (p, t2) ∈ F) = ∑(F(t1, p)F(p, t2)) по всем p∈P.
 
Подождите ...
Wait...
Пока на собственное сообщение не было ответов, его можно удалить.